二苯基亞砜
CAS號:945-51-7
2-硝基二苯砜
CAS號:31515-43-2
2-氨基二苯砜
CAS號:4273-98-7
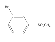
3-溴苯基甲基砜
CAS號:34896-80-5
4-溴苯基甲基砜
CAS號:3466-32-8
三溴甲基苯基砜
CAS號:17025-47-7
甲基苯基砜
CAS號:3112-85-4
乙基苯基砜
CAS號:599-70-2
4-甲砜基苯乙酮
CAS號:10297-73-1
4-甲砜基-α-溴代苯乙酮
CAS號:50413-24-6
4,4'-二氯二苯基亞砜
CAS號:3085-42-5
4,4'-二甲基二苯基亞砜
CAS號:1774-35-2